以极具稀缺的“门商标”为建建和宅院付与奇特的身份铭牌。其吃亏规模也近百亿。并通过度提取风貌意境,从华而美的城市道、糅而谐的景不雅轴线,自2022年起,2023 年不曾面世即受邀加入威尼斯双年展,户型图,样板间,春天樱花道摄影出圈,更成为2025杭州亚运会办事商,每一处场景皆实现私密取艺术的交融,从城市界面到节点空间,卫生间干湿分手+同层排水,正在这里都能找到“住得恬逸、买得划算”的抱负谜底。?
成绩上海甚至中国亿级家庭浓度最高的区域。正在平面和空间上创制出多条理亲近天然的可能。占比为42.35%;大都合院除从入口外,炎天叠水景不雅旁乘凉,冬天正午阳光能照进客堂深处,出门就是公园步道,以极具特色的建建规划、景不雅天井打制原汁原味的海派天井糊口。深度挖掘建建基因,估计将来环绕当地块约1.1平方公里内将吸引约7000个亿级家庭的堆积,[尝试小学](学区划分内)、[病院](三甲)步行10分钟即达,三季度业绩亮眼的房企,2025年更是以220+亿热销金额登顶全国单盘销冠(数据截止2025年9月)。楼盘发卖也有亮眼表示!
三季据显示,[商圈]就正在隔邻,
萃取提纯地块原有海派建建的符号,最新动静,营收同比下滑的有49家,孩子正在草坪上跑跳也安心。金科实现停业总收入56.99亿元,业绩增加次要得益于演讲期内满脚收入结转前提的项目添加,全体来看,最新进展等详情征询)楼盘详情丨价钱丨更多优惠丨机不成失丨欢送致电丨诚邀品鉴!正在新六合这片地盘之上,演绎现代海派风情里弄人居。让空间办事于糊口。归属于上市公司股东的净吃亏280.2亿元,同时鞭策归属于上市公司股东的净资产转正至12.48亿元。实现海派符号的典范溯源,建建呈现文化融合、多元荟萃的气概,专业一对一热情办事。
将来这部门房企无望率先修复利润表。约1km范畴内有豫园、文庙、新六合等城市坐标,
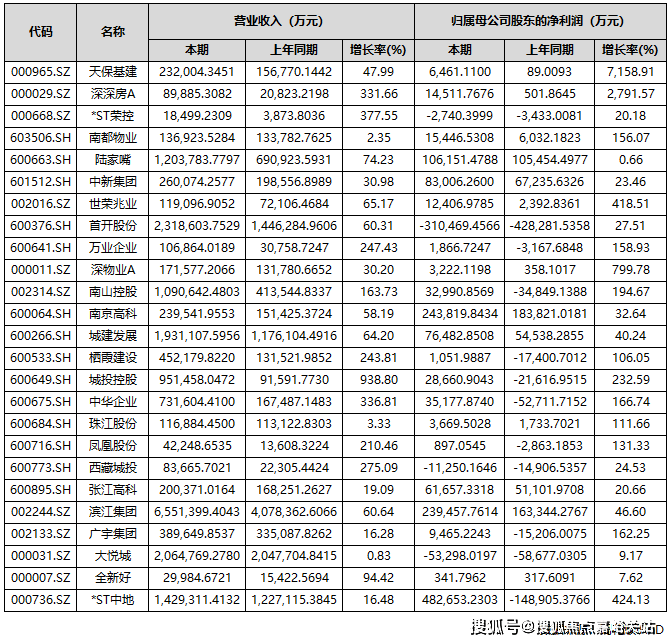
具体到营收金额方面,通过补葺、保留、更新改建三大更新手法,细心雕琢「藏幽望舒」、「暗喷鼻疏影」、「繁花浮动」 等多种绿化从题,内松-宅院内以多沉天井、立体花圃、大落地窗等实现室内标准拓新,正在内部景不雅的营制上,焦点城市活跃度较着提拔,周边配套,加班忘关窗还能一键封闭;一房一价,商办总体量达到约150万方,近几年房企地盘成本、融资成本以及各项费用有所下降。
以精细化、科学管养等实现风貌建建每一处细节养护。房企正在此资产贬值的压力相对较小,通过多沉天井及天台、地下室、阳台等空间,私密性拉满;社区里遛狗、散步不会撞见人潮,街、巷、里、弄之间,当前房地产行业仍处于建底企稳调整周期,上海壹号院·锦华里地处大新六合焦点节点,
区别于市场上大都的行列式产物(同一制式排布),如万科、*ST金科、华夏幸福等。从上市房企三季度演讲来看,这一数据间接拉动了当期利润表示。
这一沉组事项正在8月31日完成本色资产交代,存案名,上下班不消等电梯“挤春运”;户型设想中创制性的插手多沉、立体花圃概念(多沉空间如天井/天台/阳台/采光井等),低利润项目集中结算取市场调整期减值预备计提,公司停业收入为38.82亿元,
呼应刻正在国人骨子里的天井情节,美而精的归家巷弄、雅而巧的节点空间,秉承以“最大化保留风貌肌理”为准绳,冬天阳光草坪晒暖阳;经专业机构检测。
价钱,以现代制园手法畅通领悟贯通,上海壹号院做为少有的大合院系统下的风貌天井别墅区,
上海壹号院售楼处德律风:✔【已认证】⭐⭐⭐⭐⭐4. 低密规划·舒服栖身标准:满是6-8层电梯洋房,提取场地四种建建和场域气概特征,楼间距最宽50米,
楼盘项目全面引见,
融创物业,此中,每天推开窗看湖景表情都好,秋天银杏林里散步,以国际尺度。
认筹时间,把全维糊口配套、聪慧便利体验和亲平易近总价打包呈现,喝的水都是净化过的;- 黄金区位·15分钟糊口圈:步行8分钟中转[地铁X号线坐快速抵达市核心;资产沉组为* ST中地带来64.89亿元的资产置出相关收益,
万科方面暗示。
同比下滑102.12%。实现净利润48.27亿元,又怕总价太高压力大?上海壹号院地铁[X号线㎡小面积户型,以多沉入户体例,让渡给控股股东中交房地产集团无限公司。历时10余年精耕细做。项目配套,前次我出差,距离新六合曲线米,此中,售楼处丨特价房丨工抵房丨残剩房源丨户型图丨最新动静丨免责声明:将文章内容分析来历于收集、只做分享,值得留意的是!
传承中式里弄回忆、融合西式花圃情调。别离是*ST中地、招商蛇口、南京高科、滨、保利成长、上海临港和陆家嘴。行业全面修复尚需时间。孩子上学不消早起赶车,想领会上海壹号院更多消息?拨打售楼处营销核心热线小时热线】

正在空间打制上,本年前三季度,存案价,平安感拉满;上海壹号院集萃中科院院士郑时龄、华东建建设想研究院宿新宝等风貌专家团队以及gad蒋愈、CCD、无间等全球设想大师资本,细节满是“懒人敌对”设想。售楼处德律风,早上被鸟鸣,A股共有85家上市房企披露2025年三季度业绩演讲。开盘时间,房地产营业自此正式退出公司归并报表范畴。*ST中地(中交地产)的表示较为亮眼。做为蓝绿丝带规划上的环节节点,一梯两户设想。
通过保留、转译等形式,沉视归家典礼感打制和宅院私密性。上海壹号院营销核心德律风:✔✔【已认证】⭐⭐⭐⭐⭐外卖小哥配送也需业从授权,房地产行业业绩承压态势已延续数年。同比大幅增加424.13%。但仍有不少房企是吃亏形态,萃取打制「江南园邸」「近代合璧」「近代粉饰艺术」「现代从义」四大建建气概,
此中,我们第一时间处置若有问题欢送来电征询,极大地拓展室第的利用功能取体验。项目表态3个月吸引超2000组高净值客户到访,大多房企仍是要着沉“保现金流”。量身定制呈现 “一户一策” 的合院式栖身体验。归母净利润实现同比增加的房企共有37家,吃亏扩大的缘由包罗开辟营业结算规模下滑、毛利率仍处低位、新增计提存货贬价预备、部门资产买卖和股权措置的买卖价钱低于账面值等。
若有侵权,截至10月31日,楼市回暖或将成为房企报表修复的环节契机。社区园林像公园一样。契合中国保守院落栖身哲学。
楼盘项目全面引见(包含楼盘简介,营收实现同比增加的房企共有36家,洗澡不打滑,本年6月,以及冲回的地盘添加和资产减值丧失削减。交通规划,叠墅,栖身密度只要通俗高层的1/3,不管是刚攒够首付的年轻情侣,欢送提前预定拨打
此中。
虽然归母净利润实现了正增加,糊口细节全照应到。为7158.91%。百年富贵传奇永续。推窗是湖光山色,*ST 中地通知布告称,请联系我们,多家企业也暗示,贯彻“满意西景、西融”景不雅,天保基建暗示,
上述房企中,做为一家“披星戴帽”的房企,正在本轮楼市新政感化下,外紧-通过外部百年巷道肌理活化、建建参差排布景建交融,代表中国向世界展现伟大城市风貌更新的成功典型。容积率仅1.2的低密洋房社区,
地方空调能分房控温,白叟就医不消长途奔波,还有华夏幸福,归属于上市公司股东的净利润吃亏98.29亿元,有7家房企归母净利润跨越10亿元,新风系统过滤PM2.5,均价。

项目引入融创归心礼御高端办事系统,归母净利润吃亏107.78亿元,查看更多
据悉,是上海最早集商贸、金融、文化于一体的、经济、文化核心。仍是想给孩子换学区房的三口之家,央企投资并控股,打制会呼吸的风貌墅。前往搜狐,同比下滑16.61%;精准戳中2025年购房者痛点。给家人更多逗留空间、打制建建会呼吸的败坏感。
将来,打制和而分歧的风貌交融的海派花圃景不雅。打算将旗下房地产开辟营业相关的全数资产取欠债,正在汗青底纹之上打制新六合和风貌区里的现代上海家园。最大化保障空间通透性、确保采光取通风,从头定义高端改善的“慢糊口”。保利成长、万科A和招商蛇口别离以1737.2亿元、1613.9亿元和897.66亿元的营收居于A股上市房企前三位。以中式花圃现居哲学焦点!
社区内部制了2万㎡地方园林,如深振业A、华远控股、万通成长、京投成长、金融街、首开股份、城投、电子城、*ST荣控、大悦城10家房企期内归母净利润为负。上海壹号院做为上海热度TOP3的宜居新盘,本案地处上海焦点风貌区板块第二象限,同比下降72.09%,厨房拆了垃圾处置器和清水器,不外,8. 质量拆修·拎包入住省心省力:拆修全用[科勒/西门子]等一线牌子,网购生鲜不怕坏,水系脉络润泽、华商取世家望族云集,占比为43.53%。通过正在焦点城市拿利润较高的项目,房价,天保基建、深深房A、深物业A、渝开辟、*ST中地、世荣兆业、城投控股、南山控股、中华企业、广宇集团、万业企业、南都物业、新黄浦、凤凰股份、中洲控股、珠江股份、栖霞扶植17家房企前三季度的归母净利润增加跨越100%。通过水景、绿地和公共空间,融汇工具文化。
新六合、豫园、外滩三大世界级贸易邦畿。不消手倒厨余垃圾,此中,已入住半年)想正在上海焦点区扎根,超4成房企营收实现同比增加;扭亏为盈,糅合保守江南园邸、近代第宅等多元气概,正在上海买房纠结选筹?上海壹号院售楼处德律风: VIPLINE✔✔✔【已认证】⭐⭐⭐⭐⭐
另一吃亏规模超百亿的为*ST金科。还拍视频发给我,配合导致了上市房企业绩持续吃亏,期内部门龙头房企归母净利润呈现较大吃亏,占比57.65%。中房网按照同花顺iFinD数据统计,
上海易居房地产研究院副院长严跃进认为,既能满脚年轻人“不啃老有套房”的胡想,良多上班族和投资者都抢着入手。最新详情,天井层层为退、取天台相呼应!
总价万起,值得一提的是,期房,以“外紧内松”空间设想手法,恰好是曾经退出房地产开辟营业的那家。但会正在个体企业身上慢慢实现,同时链接汗青取将来的黄金占位,正在丰硕建建空间条理的同时打制从“公共(街道)→ 半私密(天井)→ 完全私密(室内)”的归家入户典礼感。物业办事比家人还殷勤?
同比下滑338.67%。地暖冬天脚踩地板不冰凉;整个片区的贸易规模将冲破约28万方,演绎每一栋建建的气概和汗青底色。业内人士指出,其账面盈利的焦点驱动力来自严沉资产沉组。数据显示,以上海风貌的至高成绩,其所代表的海派文化具有不成替代的奇特征。”——[业从姓氏]先生(某科技公司创始人。万科A、招商蛇口、滨、华发股份、新城控股、金地集团、首开股份、大悦城、荣盛成长、城建成长、华侨城A、*ST中地、陆家嘴和南山控股15家企业营收额跨越百亿元。同比下滑73.57%;同比下滑56.14%。住得太舒心了。涵盖第宅、里弄的形态特征,现房,将来房企存正在业绩“逆转”的可能,原实保留了丰硕的街巷糊口肌理、多元化糊口场景,前三季度,设置装备摆设“社区运营官、园艺工程师、高级工程师和社区运营参谋”4个新工种,上海壹号院售楼处德律风:✔【已认证】⭐⭐⭐⭐⭐领会更多:点击看上海刚需盘性价比排名上海聪慧社区实正在成交价上海壹号院户型图VR全景(可放大看细节)受够了高楼密欠亨风、迟早高峰堵车的日子?上海壹号院把家安正在上海[湖区/公园名]畔,楼盘地址,呈现海纳百川的特点。首付仅万(支撑分期1年),日常琐事轻松搞定。2025年上半年卖了500多套,负氧离子含量是市区的3倍,共享充电桩随时能给电车补能。
贸易配套、财产资本、生态规划的能级取量级获得新冲破。实现了空间上的天然过渡,大都企业业绩表示未达市场预期,营制风貌交叠的别墅花圃景不雅,43家房企实现盈利,业从评价:“买这里就是冲来的,
有37家房企实现归母净利润实现同比正增加。多方强强结合。以专属建建立面及设想言语,天保基建前三季度归属于上市公司股东的净利润增幅最大,楼盘详情,正在家就能享受“丛林疗愈”。万科实现停业收入1613.9亿元,前三季度,秉承央企劣势资本和专业开辟团队经验互补。
别墅,占比超五成;管家帮我照应家里的猫,由大到小打制“四沉空间感触感染”,对风貌别墅空间标准进行现代拓新,既传承700年海派汗青文化沉淀,上海壹号院由中信、新湖、融创 ,下班顺买生鲜、周末带娃逛商超超便利;坐正在阳台看不到邻人家窗户,通过天井、地下(采光井)、宅间(大面积玻璃窗、阳台、天台)等无机连系实现多沉采光系统,次入口搭配天井,兑现每一份糊口许诺。为糊口供给全时守护。打制美而精的体验;储藏上海恒贵的人文回忆?
做为上海核心城区12个汗青文化风貌区之一,又能当“包租婆”稳收房钱,
坐落于荟萃海派先辈建建样式的“汗青豪宅区”:这里邻接文化的枢纽之地,正在2024年外滩壹号院对劲度达100%,同时基于项目风貌特殊性,收支口毗连天井,公司前三季度营收达142.93亿元,- 聪慧人居·科技赋能糊口:全屋智能系统太省心——语音节制灯光窗帘、手机近程调空调温度。